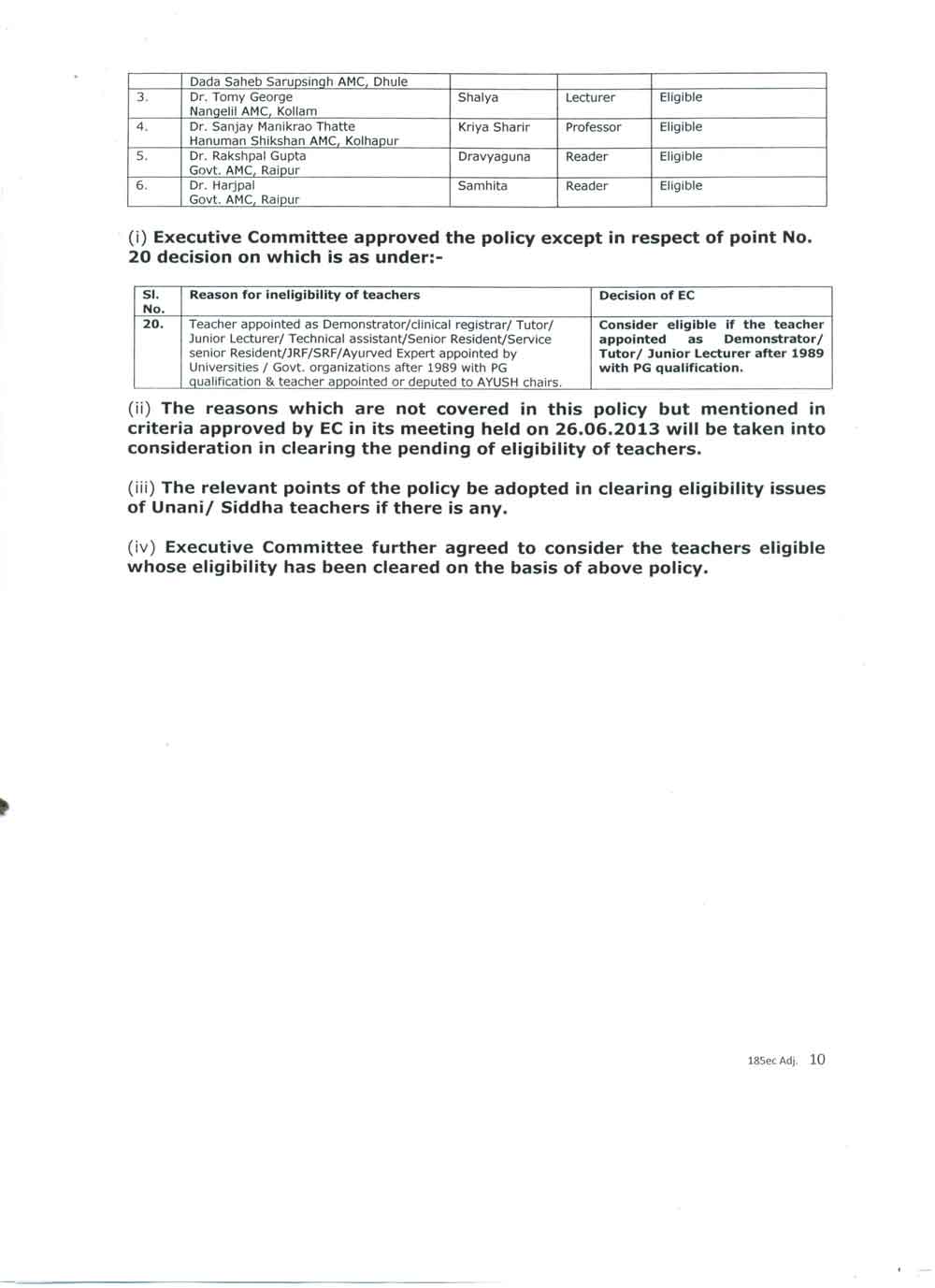
The facts regarding to new MSR regulation for Ayurveda Colleges notified by AYUSH Department
Dr.V.G.Udayakumar, Member CCIM,Kerala The Minimum Standard Requirement (MSR) Regulation notified by CCIM published in Part III, Section 4, Gazette of India (Extraordinary) 18.07.2012 invites lot of






