Yet another chance to submit suggestions on UG, PG and MSR regulations
After the repeated interactions with the academic sector the executive committee of CCIM decided to convene regulation committee soon after its reconstitution by the new president Dr.Vanithamuralikumar. The 28th meeting of regulation committee held on 20 August 2014 suggested few amendments in UG & PG regulations as well as in MSR which was accepted by the 52nd general body after discussions. As per IMCC Act these amendments should be circulated to all state before notification. Thus the proposed amendments are now open for comments from respective state governments. So we have yet another chance to submit our suggestions to government of Kerala. Such comments should reach CCIM within 90 days of publication of this circular.
AMAI right from the beginning utilized all opportunities to submit respective suggestions on each regulation after consulting with academic sector. As a result many suggested modifications were implemented.
First time in the history of Ayurveda education, AMAI organized syllabus discussion in all colleges prior to the ccim syllabus workshop at Jamnagar and consolidated suggestions were incorporated. Unfortunately the academic sector was not much aware about the unscientific positioning of different subjects as well as the burden in the first year. So such suggestions were there. But after the commencement of the new syllabus many practical difficulties were realized and therefore minor changes in the UG & PG regulations are initiated.
In view of the above well in advance AMAI initiated curriculum suggestions from academic sector. Accordingly KUHS also convened a special board of studies meeting in the presence of AMAI ccim members and drafted official suggestions. In the mean time Kottakkal Ayurvea College also submitted their suggestions. By consolidating all suggestions received from various corners AMAI submitted a complete document on various syllabus and curriculum issues to the regulation committee in time. The majority of vital issues rectified by the committee but over ruling our strong argument shifting of Panchakarma to 3rd like issues were not accepted by the general body. One of the remarkable achievements was the shifting of Agadatantra MD to the clinical stream and including Kayachikitsa as an allied subject to it. There was a strong resistance from north in this issue but finally we succeed.
Regarding MSR right from the beginning AMAI expressed our disagreement and protest on reducing standards various levels. Only few members protested against it in the general body among them AMAI members were in front. There after we brought CCIM leaders to Kerala to express our views on it. As a result superannuation of the teachers brought to 65 from 70. We are continuously arguing for the 3 tier system it was also in principle accepted by the regulation committee and initiated a workload study to convince GOI in this regard. Along with many other changes are also recommended. The major recommendations are appended along with this note.
The major break through in this area was the introduction of new regulation for teacher’s qualifications and pay scale. The council made it mandatory to give equal salary of NIA to all teachers. Along with this many service issues were solved including it also checks the mushrooming of new colleges and courses.
In brief we have one more chance to submit left out points in three regulations
1. UG Regulations
2. P.G.Regulations
3. MSR.Regulations.
In view of the above AMAI in association with Akhila Kerala Ayurveda college Adhyapaka Samghatana organised two regional workshops in these issues and drafted required amendments in these areas. So it is the right time to submit that suggestions.
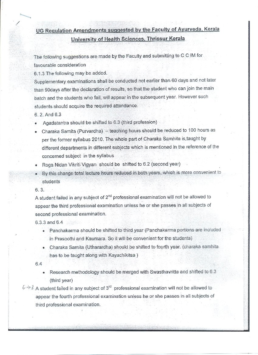
Through various deliberations with Ayush people and council leadership it’s learned that huge changes in these regulations are not expected. So we have to concentrate in the left out issues. In the UG regulation we have to propose the shifting of Panchakarma to the 3rd year and Charaksamhita to 4th year which enables efficacy of the syllabus to a great extend. Shifting of research methodology to 3rd year is also advocated as the related subject is studying in swasthavritha. It also enables the student to get enough time to cop up with the new subject as well as pass or fail in this subject won’t affect the final year result. In MSR we have to argue for the former 3 tier faculty position. For that a justifiable work load assessment shall be submitted along with proposal





